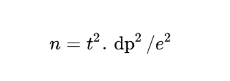
SAMPLE SIZE CALCULATION FORMULA 3
Where;
1.  n is the estimated sample size
2. t is the statistic that defines the level of risk.  That is, 2 for α=0.05
3. d is the degree of precision expressed in terms of proportion.
4. p is the proportion of the population to be estimated and
5. e is the tolerance measurement error.
RELATED;

 
 
 
 
 
 
 
 
 
 
No comments:
Post a Comment